?
? ? 船用蓄電池是船舶電力系統中不可缺少的一部分,是重要的電源保障系統。蓄電池系統不僅提供船舶各類指示燈用電, 還用于應急供電系統中以及做為機組的啟動電源等。因此船用蓄電池的使用及維護保養至關重要。但由于部分電工人員對蓄電池認識不足,專業知識只停留在常規使用層面,極易造成蓄電池使用壽命變短。

本文根據船上蓄電池使用狀態著重分析一下影響酸性蓄電池容量因素及如何保證其容量。
1.1放電時率對電池容量的影響
對于船舶給定時率容量的蓄電池在不同放電時率下放電,將有不同的容量匚表1給出10時率的蓄電池在不同時率放電時容量對照。

按蓄電池的放電原理,蓄電池在放電時正負極板上都將形成硫酸鉛;
在負極板上
Pb-2e + HjSOLPbSO,+2H+
在正極板上
PbO2+2e+H;SO4+2H*fPbSO4+2HQ
然而這一化學反應過程不是瞬間完成的,而是由極板外部逐漸進入極板內部的,在大電流放電情況下,極板表面活性物質(正極板上是PbCh,負極板上是pb)與電解液(稀H2SO4)反應,優先生成PbSO4, PbSO4的體積 比PbO2和Pb大,是粗大的結晶體,容易堵塞多孔的極板孔口,使電解液不易滲透到極板內部,極板深處的活性物質難以與電解液發生化學反應,這就減少了蓄電池的容量;另外,由于蓄電池存在著內阻,從其電壓方程式U=E—IR?闯鲂铍姵囟穗妷篣是隨放電電流I的增大而下降, 放電電流越大端電壓下降的越快,到終止電壓的時刻越早,允許放電時間越短,其容量就越小。所以放電電 流越大蓄電池容量越小。圖1是放電電流與容量的規律曲線。

1.2溫度對蓄電池的容量影響較大
電解液的溫度升高,電解質的活動能力增強,容易形成離子狀態,得失電子就多,電池容量相對就大。電解液溫度下降,一方面引起電解液粘度增大,離子運動受到較大的阻力,擴散能力降低,向極板內部補充H2SO4速度減慢,極板深處活性物質的利用率減少使容量減少;另一方面溫度降低時,電解液的粘度增大,使電解液的電阻增大,放電中消耗的內壓降增大,使端電壓下降,放電時間縮短,容量減小。特別是低溫大電流放電對容量影響就更大。圖2所示為電解液溫度對電池容量的關系曲線。
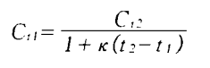
通?己舜眯铍姵氐娜萘渴窃25P條件下,以10小時率電流放電進行檢驗,放電時因溫度變化,可通過下列變換式換算求出匚這里K取0.008。


但是,由于電解液溫度過高會引起極板和隔板的損壞,縮短蓄電池的壽命。因此在實際工作中決不允許 以提高工作溫度來增大電池容量。一般船用蓄電池的電解液溫度不允許超過35C。
1.3電解液濃度對電池容量的影響
蓄電池電化學反應的產生,主要決定在正負極板 上的活性物質及電解液中可電離H2SO4程度。在體積 一定時,增加電解液的濃度就是增加反應物質,所以在 實際使用的電解液濃度的范圍內,隨著濃度的增加,電池容量也增加,特別是在高時率放電更是如此。
但是電解液濃度增大時,粘度變大,不利于容液的擴散,同時電池內阻及自放電也增大。另外,當電解液濃度超過一定數量時,還會加速對極板、隔板3腐蝕。
1.4電解液的純度對電池容量的影響
電解液是由一定比例的純硫酸和蒸餾水配制而成,電解液的純度對蓄電池的容量有很大影響,因為蓄電池輸入輸出的電能是溶液中電化學反應所致,有害雜質過多會大大地影響蓄電池的工作性能。
1.5終止電壓對電池容量的影響
蓄電池的終止電壓是指蓄電池放電終了時所規定的電壓。根據不同的放電時率,終止電壓也不一樣。一般小電流放電,終止電壓較高;大電流放電,終止電壓較低。這是因為小電流放電時,蓄電池內部產生的電化學反應比較均勻,放電接近終了時,正負極板上的活性物質大部分已轉變為硫酸鉛(PbSOQ。而硫酸鉛的體 積比原活性物質的體積大,由于活性物質的膨脹會產生應力,造成極板彎曲或活性物質脫落,從而影響電池壽命,所以其終止電壓應取較高值。大電流放電時由于生成的硫酸鉛較少,膨脹產生的應力較小,即使放電到電壓相當低時,極板也不會有損壞,所以其終止電壓可以取較低值。表2是放電率與終止電壓的對照表。